Classe de BTS CRSA 1ère année
La boîte à outils
Le programme BTS CRSA
Programme de mathématique des BTS (Sept. 2013)
La progression pédagogique de l'année - BTS CRSA 1ère année
Les Fiches de Cours
(les liens de téléchargement apparaîtront au fur et à mesure de l'avancée du cours en classe)
Outils de calcul :
Les calculatrices intéressantes pour le programme de BTS CRSA :
TI‑83 Premium CE Edition Python :
Casio Graph 90+ avec Python :

Logiciel XCAS, outil de calcul formel :
Logiciel Sine Qua Non :
L'énigme ou l'activité du jour !
TICE !
Le Cahier de Textes
Semaine

Cours en vidéo
Plan de travail (Elèves)
Evaluations diagnostiques (niveau Terminale)
Cahier de texte (à faire à la maison)
Semaine

Cours en vidéo
Fonctions numériques :
Fonctions usuelles
Plan de travail (Elèves)
Présentation des notions au programme de mathématiques du BTS CRSA
Début du ch. 01 Fonctions numériques :
x, x², x^3, 1/x, 1/(x-a), exp(x). Ensembles de définition, tableaux de variations, limites, parité.
TP Info. Visualisation de limites de fonctions sur Géogébra et calculs "à la main" pour des fonctions polynomiales ou rationelles.
Cahier de texte (à faire à la maison)
Faire les exercices n° 18-19-21-23 de la feuille distribuée
Savoir recalculer des limites de fonctions en l'infini pour des fonctions polynômiales ou rationnelles. Connaître les fonctions ususelles vues en cours.
Semaine

Cours en vidéo
Fonctions numériques
Asymptotes/limites
Plan de travail (Elèves)
Exercices sur les limites (calculs)
Correction des exercices sur les limites
Cours (Rappel) sur les fonctions de référence + exponentielle et ln.
Exercices sur les résolutions d'équations avec exp et ln.
Test 1er chapitre.
Cahier de texte (à faire à la maison)
Apprendre le cours depuis le début du chapitre. Savoir refaire les exercices faits en cours et bien apprendre les méthodologies (en vert dans le cours) jusqu'en haut de la page 10 (juste avant le paragraphe sur le nombre dérivé).
Faire les exercices 9/13/25/35 de la feuille d'exercices distribuée (en pj au cas où...). On passera au tableau pour corriger et la prestation fera l'objet d'une note sur 4...
Semaine

Cours en vidéo
Fonctions numériques
Dérivation/variations/extrémums
Plan de travail (Elèves)
Cours sur la dérivation (révisions)
Parcours différencié :
Groupe A : Parcours standard & Exercices "Pour aller plus loin"
Groupe B : Parcours standard
TP TICE (Géogébra) : le nombre dérivé
Cahier de texte (à faire à la maison)
Semaine

Cours en vidéo
Fonctions numériques
Développements limités
Plan de travail (Elèves)
Début des rappels sur la dérivation.
Rappel : feuille d'exercices
Exercices de dérivation: calcul de dérivées à la main et variations de fonctions (signe de la dérivée).
Dérivation et développement limité (introduction)
Utilisation de la calculatrice
Cahier de texte (à faire à la maison)
Apprendre le tableau des formules des dérivées usuelles et des règles de dérivation. Faire l'exercice n°58 de la feuille.
DM n°1 à faire
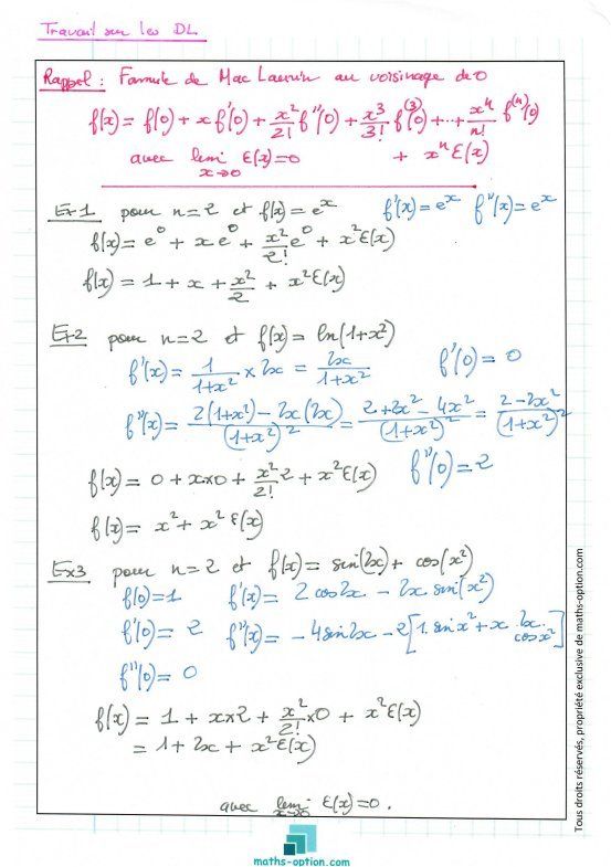
Savoir retrouver une dérivée ou un DL à la calculatrice. Au vu de l'absence de possibilité technique d'utilisation de calculatrices adaptées, essayer, à partir du cours et notamment de la formule de Mc Laurin, de donner l'expression d'un développement limité d'ordre 2 d'une fonction simple choisie par vous-même (par exemple utilisant une combinaison des fonctions de référence). Tracez sur votre calculatrice la fonction et le développement limité trouvé sur le même graphique, et zoomez au voisinage de x=0, pour bien comprendre l'intérêt des DL. DS en fin de semaine : savoir calculer des dérivées en utilisant les formules et les règles de dérivation, savoir déduire du signe de la dérivée le tableau de variation d'une fonction donnée. Ne pas oublier le DM à faire (pour vendredi).
Semaine

Cours en vidéo
Calcul vectoriel
Vecteurs
Plan de travail (Elèves)
Calcul des DL en 0 à partir de la formule de Mac Laurin.
Exemples
DS n°2 sur les fonctions (dérivation, variations, ...)
Nouveau chapitre : calcul vectoriel.
Exercices
Cahier de texte (à faire à la maison)
Apprendre la méthodologie de calcul d'un DL d'ordre n en 0, par la formule de Mac Laurin.
Revoir le cours : savoir calculer des normes de vecteurs dans le plan ou dans l'espace, à partir des coordonnées du vecteur ou des points d'un représentant de ce vecteur. Interro rapide possible...
Semaine

Cours en vidéo
Calcul vectoriel
Barycentres
Plan de travail (Elèves)
Correction des DS et DM.
Calculs barycentriques
TP Python : Calcul barycentrique
Cahier de texte (à faire à la maison)
Réviser au plus vite les calculs de dérivation pour ceux qui en ont besoin.
Exercice : à la moitié du rayon d'une plaque circulaire homogène et d'épaisseur constante, on perce un trou circulaire de diamètre égal à la moitié du rayon de la plaque. Où se trouve le barycentre (centre de gravité) de la plaque percée ?
Exercice de recherche sur le barycentre d'un disque percé. Savoir calculer les coordonnées d'un barycentre. Interro rapide !
Semaine

Cours en vidéo
Calcul vectoriel
Produit scalaire
Plan de travail (Elèves)
Calcul vectoriel : cours sur le produit scalaire.
TP Python : programmation d'un algorithme présentant le calcul d'un produit scalaire à partir des coordonnées de 2 vecteurs.
A comprendre et savoir refaire...
Cahier de texte (à faire à la maison)
Terminer l'exercice n°23 de la feuille et faire l'exercice n°24.
Savoir calculer un produit scalaire à partir des coordonnées de 2 vecteurs. Interro de cours mardi !
Semaine

Cours en vidéo
VACANCES
Plan de travail (Elèves)
Cahier de texte (à faire à la maison)
Semaine

Cours en vidéo
VACANCES
Plan de travail (Elèves)
Cahier de texte (à faire à la maison)
Semaine

Cours en vidéo
Calcul vectoriel
Produit vectoriel
Plan de travail (Elèves)
Interro Cours : DS sur le produit scalaire
Rappels et correction du DS (exercices 1 à 3)
Cahier de texte (à faire à la maison)
Chercher l'exercice 4 du DS. En fonction des notes du DS, possibilité d'interro de rattrapage. Savoir refaire le DS (produit scalaire)
Semaine

Cours en vidéo
Calcul vectoriel
Produit vectoriel
Plan de travail (Elèves)
Géométrie vectorielle : révisions + nouvelle notion : le produit vectoriel
Exercices sur le produit vectoriel
TP Python n°6, produit vectoriel.
Cahier de texte (à faire à la maison)
Savoir refaire les exercices du cours, notamment les 36 et 37 de la feuille d'exercices. Terminer l'exercice n°40 de la feuille.
Terminer le TP Python n°6 (Produit vectoriel) ; A rendre : impression papier du script et d'une vue du résultat d'exécution (console). Tout support autorisé : Edupython, Thonny, émulateur web de la Numworks...
Semaine

Cours en vidéo
Statistiques descriptives
Statistiques à une variable
Plan de travail (Elèves)
Synthèse sur le calcul vectoriel.
Exercice de synthèse
TD : statistique descriptive
Cahier de texte (à faire à la maison)
Terminer l'exercice commencé en classe (lien disponible dans la rubrique contenu du cours)
Terminer les exercices 10 et 15 de la feuille.
Semaine


Cours en vidéo
Statistiques descriptives
Statistiques à une variable
Statistiques descriptives
Statistiques à 2 variables
Méthode de Mayer
Plan de travail (Elèves)
Cours sur les séries statistiques à une variable. Un exemple complet avec les calcul de tous les paramètres d'analyse.
Statistiques à une variable : savoir calculer les paramètres moyenne, variance, écart-type, mediane, quartiles...
Statistiques à 2 variables : savoir utiliser la méthode de Mayer (avec 2 nuages de points remplacés par leur barycentre) pour trouver une droite de régression passant par ces 2 barycentres. Savoir utiliser la calculatrice pour effectuer une régression linéaire par la méthode des moindres carrés.
Cahier de texte (à faire à la maison)
Savoir faire une étude statistique sur une série à une variable: moyenne, variance, écart-type, médiane, quartiles, etc...Regarder comment faire les exercices de la feuille.
Semaine

Cours en vidéo
Statistiques descriptives
Statistiques à 2 variables
Moindres carrés
Plan de travail (Elèves)
Régression linéaire par 2 méthodes : Mayer (barycentres) et moindres carrés. Exercice-type fait en classe. A savoir refaire.
Cahier de texte (à faire à la maison)
Apprendre le cours : savoir refaire l'exercice-type fait en classe en vu d'un test semaine prochaine .
Semaine

Cours en vidéo
Calcul intégral
Primitives
Calcul intégral
Intégrales
Plan de travail (Elèves)
Test sur les statistiques
Rappels sur la dérivation : un cours est disponible ici (nécessaire à connaître par coeur pour réussir le DM à rendre pour la rentrée)
DM en ligne
Correction du DS sur la régression linéaire.
Exercices sur la dérivation, introduction à l'intégration (primitives, intégrales).
Cahier de texte (à faire à la maison)
DM à faire
Semaine

Cours en vidéo
VACANCES
Plan de travail (Elèves)
Cahier de texte (à faire à la maison)
Semaine

Cours en vidéo
VACANCES
Plan de travail (Elèves)
Cahier de texte (à faire à la maison)
Semaine

Cours en vidéo
Calcul intégral
Primitives
Intégrales
Calcul intégral
Intégration par parties
Plan de travail (Elèves)
Exercices sur la dérivation, introduction à l'intégration (primitives, intégrales).
Calcul intégral
Cahier de texte (à faire à la maison)
Apprendre le cours (tableau des dérivées) + méthodologie pour trouver les primitives de fonctions simples.
Ex N° 26 et 27 de la feuille
Semaine

Cours en vidéo
Calcul intégral
Primitives
Intégrales
Plan de travail (Elèves)
Calcul intégral (suite)
Cahier de texte (à faire à la maison)
Fin des exercices sur l'intégration
Semaine

Cours en vidéo
Equations différentielles
Ordre 1
Plan de travail (Elèves)
DS sur le calcul intégral
Equations différentielles linéaires d'ordre 1 avec second membre. Cours + exercices
Equations différentielles linéaires d'ordre 1 à coefficients constants et avec second membre.
Cahier de texte (à faire à la maison)
Savoir résoudre une équation différentielle linéaire d'ordre 1 avec second membre constant. Cf exercices du jour
Savoir résoudre les équations différentielles du type ay'+by=c. Potentielle interro de cours.
Semaine

Cours en vidéo
Equations différentielles
Nombres complexes
Ordre 2
Plan de travail (Elèves)
Fin des exercices sur les équations différentielles d'ordre 1
Equations différentielles récap 1er ordre, introduction 2nd ordre
Représentation graphique d'une primitive par la méthode d'Euler.
Cahier de texte (à faire à la maison)
Savoir résoudre les équations du typa ay'+by=c avec une condition f(k)=l
Savoir résoudre une équation du second degré dans C
Terminer le TP n°7 - Méthode d'Euler pour lundi (rendu sur feuille)
Semaine


Cours en vidéo
Equations différentielles
Ordre 2
Plan de travail (Elèves)
Equations différentielles d'ordre 1 et 2
Exercices
Cahier de texte (à faire à la maison)
Exercices n° 24 (vérifier que la solution trouvée est juste), n° 26 et 27 de la feuille.
Savoir résoudre des équations différentielles du 1er ordre et du 2nd ordre. Interro de cours (exercices d'application du cours)
Rédiger le TP sur la méthode d'Euler (tracé des primitives) présentant les calculs dans un tableau avec dh=1/4 et dh=1/10 ou 1/100 afin de calculer les erreurs de tracé avec la primitive calculable. TP noté : si non rendu, note =0.
Semaine

Cours en vidéo
Equations différentielles
Ordre 2
Plan de travail (Elèves)
Test Intégrales/équations différentielles
DM à faire pour la rentrée
Cahier de texte (à faire à la maison)
Réviser le calcul intégral et les équations différentielles (ordre 1 et 2). Interro de cours à prévoir
DM à faire pour les vacances (en ligne sur le site)
Semaine

Cours en vidéo
VACANCES
Plan de travail (Elèves)
Cahier de texte (à faire à la maison)
Semaine

Cours en vidéo
VACANCES
Plan de travail (Elèves)
Cahier de texte (à faire à la maison)
Semaine


Cours en vidéo
Calcul matriciel
Opérations sur les matrices
Plan de travail (Elèves)
xxx
Cahier de texte (à faire à la maison)
xxx
Semaine

Cours en vidéo
Calcul matriciel
Résolution de systèmes n x n
Plan de travail (Elèves)
xxx
Cahier de texte (à faire à la maison)
xxx
Semaine

Cours en vidéo
Suites numériques
Arithmétiques
Plan de travail (Elèves)
xxx
Cahier de texte (à faire à la maison)
xxx
Semaine

Cours en vidéo
Suites numériques
Géométriques
Plan de travail (Elèves)
xxx
Cahier de texte (à faire à la maison)
xxx
Semaine


Cours en vidéo
Probabilités 1
Voca/def/Propriétés/arbres/Bayes
Plan de travail (Elèves)
xxx
Cahier de texte (à faire à la maison)
xxx
Semaine

Cours en vidéo
Probabilités 1
Bernoulli/Binomiale
Plan de travail (Elèves)
xxx
Cahier de texte (à faire à la maison)
xxx
Semaine

Cours en vidéo
Probabilités 2
Graphes probabilisés/chaînes de Markov
Plan de travail (Elèves)
xxx
Cahier de texte (à faire à la maison)
xxx
Semaine

Cours en vidéo
VACANCES
Plan de travail (Elèves)
Cahier de texte (à faire à la maison)
Semaine

Cours en vidéo
VACANCES
Plan de travail (Elèves)
Cahier de texte (à faire à la maison)
Semaine

Cours en vidéo
Probabilités 1
Rappels lois à densité + loi uniforme
Plan de travail (Elèves)
xxx
Cahier de texte (à faire à la maison)
xxx
Semaine

Cours en vidéo
Probabilités 1
Loi Normale
Plan de travail (Elèves)
xxx
Cahier de texte (à faire à la maison)
xxx
Semaine

Cours en vidéo
Opérations sur les var. aléatoires
Probabilités 1
Plan de travail (Elèves)
xxx
Cahier de texte (à faire à la maison)
xxx
Semaine

Cours en vidéo
Révisions
Plan de travail (Elèves)
xxx
Cahier de texte (à faire à la maison)
xxx
Semaine


Cours en vidéo
Révisions
Plan de travail (Elèves)
xxx
Cahier de texte (à faire à la maison)
xxx
Semaine

Cours en vidéo
Révisions
Plan de travail (Elèves)
xxx
Cahier de texte (à faire à la maison)
xxx
Semaine

Cours en vidéo
Révisions
Plan de travail (Elèves)
xxx
Cahier de texte (à faire à la maison)
xxx
Semaine

Cours en vidéo
Révisions
Plan de travail (Elèves)
xxx
Cahier de texte (à faire à la maison)
xxx
Semaine


Cours en vidéo
Révisions
Plan de travail (Elèves)
xxx
Cahier de texte (à faire à la maison)
xxx
Semaine

Cours en vidéo
Révisions
Plan de travail (Elèves)
xxx
Cahier de texte (à faire à la maison)
xxx















































